
1、方法有两种:
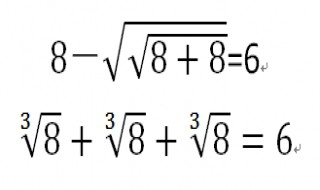
2、8的立方根+8的立方根+8的立方根=6。
3、8-[(8+8)的平方根的平方根]=6。
4、拓展资料:
5、平方根:
6、平方根,又叫二次方根,表示为〔±√ ̄〕,其中属于非负数的平方根称之为算术平方根(arithmetic square root)。一个正数有两个实平方根,它们互为相反数;0只有一个平方根,就是0本身;负数有两个共轭的纯虚平方根。
7、一般地,“√ ̄”仅用来表示算术平方根,即非负数的非负平方根。如:数学语言为:√ ̄16=4。语言描述为:根号16=4(也可叫根号16=4)。
8、立方根:
9、如果一个数的立方等于a,那么这个数叫a的立方根,也称为三次方根。也就是说,如果x3=a,那么x叫做a的立方根。
步骤阅读方法/步骤
- 共1图
1 1、方法有两种:
- 共1图
2 2、8的立方根+8的立方根+8的立方根=6。
- 3
3、8-[(8+8)的平方根的平方根]=6。
- 4
4、拓展资料:
- 5
5、平方根:
- 6
6、平方根,又叫二次方根,表示为〔±√ ̄〕,其中属于非负数的平方根称之为算术平方根(arithmetic square root)。一个正数有两个实平方根,它们互为相反数;0只有一个平方根,就是0本身;负数有两个共轭的纯虚平方根。
- 7
7、一般地,“√ ̄”仅用来表示算术平方根,即非负数的非负平方根。如:数学语言为:√ ̄16=4。语言描述为:根号16=4(也可叫根号16=4)。
- 8
8、立方根:
- 9
9、如果一个数的立方等于a,那么这个数叫a的立方根,也称为三次方根。也就是说,如果x3=a,那么x叫做a的立方根。
声明:本网页内容为来源互联网,旨在传播知识,若有侵权等问题请及时与本网联系,我们将在第一时间删除处理,E-MAIL:320919107#qq.com。#改@
3个8加减乘除怎么做等于6 3个8加减乘除等于6:http://www.3jise.com/article/198703.html
